-
27 November 2012
Физика
- Автор: Annaleo1996
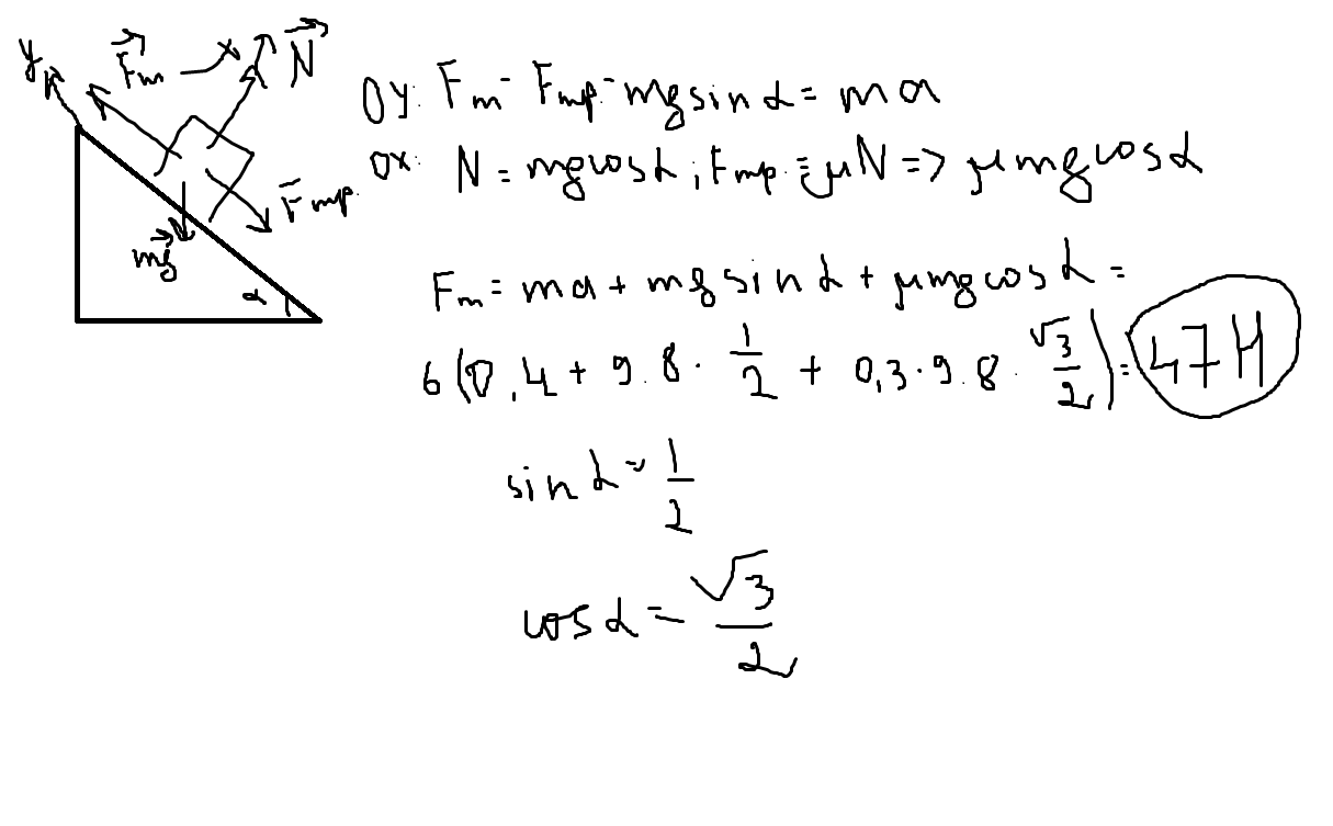
Какую силу необходимо приложить к телу массой 6 кг, чтобы оно перемещалось вверх по наклонной плоскости с ускорением 0,4 м/с2? Наклонная плоскость составляет с горизонтом угол 30°, а коэффициент трения равен 0,3.-
-
-
27 November 2012
- Ответ оставил: Ларенс1249
________________________________
-
-
- НЕ НАШЛИ ОТВЕТ?
Если вас не устраивает ответ или его нет, то попробуйте воспользоваться поиском на сайте и найти похожие ответы по предмету школьной программы: физика.
На сегодняшний день (29.04.2026) наш сайт содержит 250062 вопросов, по теме: физика. Возможно среди них вы найдете подходящий ответ на свой вопрос. -
Нажимая на кнопку "Ответить на вопрос", я даю согласие на обработку персональных данных
Ответить на вопрос
Последние опубликованные вопросы
Ядро атома гелия, имеющее массу 6,7-10-²⁷ кг и заряд 3,2 10-¹⁹ Кл, влетает в однородное магнитное поле с индукцией 10 Тл и начинает двигаться по окружности радиусом 1 м. Рассчитайте скорость этой ч...
Определить коэффициент трения мотоцикла который едет по внутренней поверхности конуса с углом при вершине 2альфа и угловой скоростью w по окружности радиуса r
Через какое время мотоциклист проходит путь 400 м, двигаясь с ускорением 2 m/c²? решение
почему вы берете воду 3,33 *10^5 если в учебниках 3.4*10^5
Два мотоциклиста едут по прямому шоссе. Один из них движется со скоростью 60 км/ч, а другой отстает на 20 м и хочет обогнать первого, двигаясь со скоростью 80 км/ч. Успеет ли он совершить обгон, ес...
Два мотоциклиста едут по прямому шоссе. Один из них движется со скоростью 60 км/ч, а другой отстает на 20 м и хочет обогнать первого, двигаясь со скоростью 80 км/ч. Успеет ли он совершить обгон, ес...
Чугунное тело М из мензурки А (рис. 1) перенесли в мензурку В, в которой находился керосин. Уровень керосина в мензурке В поднялся (рис. 2). Определите удельную теплоемкость керосина. Полученный ре...
Определите линейную скорость вращения Земли вокруг Солнца (в км/с), предполагая, что Земля движется по окружности, и что расстояние от Солнца до Земли составляет 150 000 000 километров. В ответ зап...
Шарик, изготовленный из материала с плотностью ρ1, равномерно падает в вязкой жидкости с плотностью ρ2 с некоторой скоростью. Снизу равномерно поднимается воздушный пузырек такого же размера. Сила ...
Два одинаковых точечных электрических заряда, находясь в аммиаке, взаимодействуют с силой 6∙10−6 Н. Величина первого заряда 5∙10−9 Кл, второго 9∙10−9 Кл. Определить, на каком расстоянии друг от дру...
3. Тело сделано из меди ( плотность 8,9 г/см³), имеет объем 100 см³. Какой вес будет иметь это тело в воде? ( плотность воды 1000 кг/м³)
Помогите пожалуйста срочно!!! Вообще не понимаю!!! Автомобиль проехал 60 км за 1 ч, а потом еще 5 ч ехал со скоростью 48 км/ч. Определите среднюю скорость.
