-
29 September 2013
Алгебра
- Автор: Vanesa05
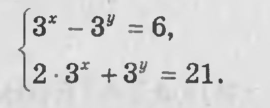
Пожалуйста помогите решить систему! очень надо! (во вложениях)-
-
-
29 September 2013
- Ответ оставил: lidusya13
3 в степени х=а; 3 в степени у=в; Решаем простую систему;в=3;а=9; Отсюда х=3;у=1 -
-
- НЕ НАШЛИ ОТВЕТ?
Если вас не устраивает ответ или его нет, то попробуйте воспользоваться поиском на сайте и найти похожие ответы по предмету школьной программы: алгебра.
На сегодняшний день (16.04.2026) наш сайт содержит 449110 вопросов, по теме: алгебра. Возможно среди них вы найдете подходящий ответ на свой вопрос. -
Нажимая на кнопку "Ответить на вопрос", я даю согласие на обработку персональных данных
Ответить на вопрос
Последние опубликованные вопросы
Наити вероятность того что наугат выбрано число от 10 до 50, окажется кратным 4
лыжник массой 65 кг в начале спуска набрал скорость 36 км/ч а через 30 секунд скорость была 63 км/ч оределите силу
Стержень растягивается силами Р. Известны величины: σ=200 МПа, d=0,1 м, Е=2·105 МПа, μ=0,25. После нагружения диаметр стержня уменьшился на ___ мм.
анатолий работает в службе доставки интернет магазина для упаковки коробок используется скотч 180 он упаковал больших коробок и изра) асходовал два рулона скотча полностью а от третьего осталось ро...
анатолий работает в службе доставки интернет магазина для упаковки коробок используется скотч 180 он упаковал больших коробок и изра) асходовал два рулона скотча полностью а от третьего осталось ро...
Задание 5. Определите форму, время глагола, его класс. Переведите
предложения.
1. призъвавъ же и дес#тъ рабъ своихъ i дастъ имъ дес#тъ мънасъ
i рече къ нимъ (Мар.ев.).
2. i ведош# и~са къ архиереоу...
1. Тело движется по прямой так, что расстояние S до него от некоторой точки этой прямой изменяется по закону
S=2+12t-3t2(м)
t- время движения в секундах.
Через сколько секунд после начала движения...
внесите множитель под знак корня -2ab ^3корень -3
Какой одночлен нужно вставить в запись 4xy2 · *=8x4y6z3 вместо знака *, чтоб получилось верное равенство?
Яблонь посадили на 12 меньше,чем груш.Сколько посадили груш?
Разрежьте фигуру, изображенную на рисунке справа, на 4 равные по форме и по площади части.
Определите сколько надо краски чтобы покрасить пол имеющий форму фигуры если на 1м2 требуется 105г краски? Углы фигур ы 1м,9м,3м,4м

