-
21 September 2013
Қазақ тiлi
- Автор: Alisa400
Перевести в троичную, восьмеричную, шестнадцатеричную систему счисления)
очень надо!! пожалуйста-
-
-
21 September 2013
- Ответ оставил: Zarino4ka98
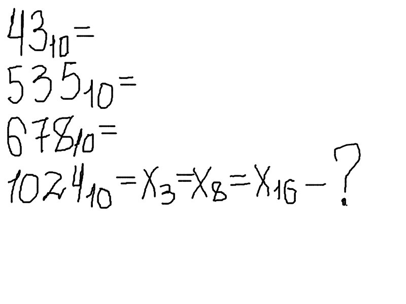
43(10) = 1121(3) 43(10) = 53(8) 43(10) = 2B(16)
535(10) = 201211(3) 535(10) = 1027(8) 535(10) = 217(16)
678(10) = 221010(3) 678(10) = 1246(8) 678(10) = 2A6(16)
1024(10) = 1101221(3) 1024(10) = 2000(8) 1024(10) = 400(16) -
-
- НЕ НАШЛИ ОТВЕТ?
Если вас не устраивает ответ или его нет, то попробуйте воспользоваться поиском на сайте и найти похожие ответы по предмету школьной программы: қазақ тiлi.
На сегодняшний день (30.04.2026) наш сайт содержит 91805 вопросов, по теме: қазақ тiлi. Возможно среди них вы найдете подходящий ответ на свой вопрос. -
Нажимая на кнопку "Ответить на вопрос", я даю согласие на обработку персональных данных
Ответить на вопрос
Последние опубликованные вопросы
қазақстандағы ауыр индустрияның болашағы" аргументті эссе
күлтегеннің бойыннан қандай қасиеттерді байқадыңыз?3-4 сөйлем
ЖАЗЫЛЫП8-тапсырма. Дағды-ишараның түрлері туралы кластер жаса.Буны білудің пайдасы туралы ойыңды дәлелдеп жаз.Дағды-ишара
СРОЧНААААА!!!!!!!
Тыныс белгісі дұрыс қойылған сөйлемді табыңыз
Бір ғана жауапты таңдаңыз
a. Рабиға біресе, маған, біресе, Әмірге қарады
b. Рабиға біресе, маған, біресе Әмірге қарады
c. Рабиға біре...
AЖАЗЫЛЫМ9-тапсырма.«Жирен жаман әдеттен, үйрен жақсы әдеп-тен» деген тақырыпта іні-қарындастарына, сіңлілеріне арнап әңгіме жаз.Қаратпа, қыстырма сөздерді қолдан.ПОЖАЛУЙСТА ПОМОГИТЕ УМОЛЯЮ!!!!!!!!!
Әбу Насыр әл - Фарабидің « Тіршілікте құрыштай бол төзімді » өлеңіндегі автор бейнесін анықтаңыз . Өз ойыңызды 3-4 сөйлеммен жазыңыз . өтінемін айтыңыздаршы
Аяз би неліктен өзін жаманмын деді
Слова которые отвечают на вопросы где каз яз
СРОЧНОООО ПОИОГИТЕ!Тиісті есімдіктерді қойып жазу.1.... Бурабайдың суретін салды. 2. әжеммен бірге Майра апамның үйіне талайбардым. 3. Майра апам ... кұшағын жайып қарсы алды. 4.Асқар.... дос. 5. А...
Төле бидің «Ердің бақыты-әйел» деген шешендік сөзінің мәнін дәлелдермен аша отырып, әдеби эссе жазыңыз. Как можно больше напишите, плииииз
Шақ малдар туралы малимет
Мына сөздермен сөйлем құрап жаз. Арқар, барыс, қосаяқ, құлан.

