-
25 August 2013
Математика
- Автор: Croci
Помогите решить,пожалуйста.-
-
-
25 August 2013
- Ответ оставил: Alinok2007

-
-
-
25 August 2013
- Ответ оставил: Volfom1981
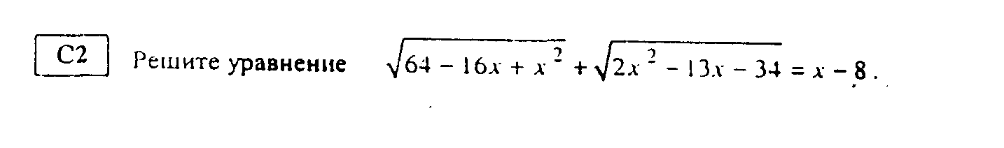
Vx^2-16x+64+V2x^2-13x-34=x-8
V(x-8)^2+V2x^2-13x-34=x-8
x-8+V2x^2-13x-34=x-8
V2x^-13x-34=0
V0=0, cледовательно
2х^2-13х-34=0
D=169+272=441
x1=13+21/4=8.5
x2=13-21/4=-2
V(-2-10)=V(-12) -чего по определению не может быть
ответ: 8.5
P.S V - квадратный корень -
-
- НЕ НАШЛИ ОТВЕТ?
Если вас не устраивает ответ или его нет, то попробуйте воспользоваться поиском на сайте и найти похожие ответы по предмету школьной программы: математика.
На сегодняшний день (13.04.2026) наш сайт содержит 1049518 вопросов, по теме: математика. Возможно среди них вы найдете подходящий ответ на свой вопрос. -
Нажимая на кнопку "Ответить на вопрос", я даю согласие на обработку персональных данных
Ответить на вопрос
Последние опубликованные вопросы
В бочке было 450л кваса. За 3ч продали пятую часть кваса, а за следующие 2ч - ещё 127л. Сколько литров кваса осталось в бочке?
Задача 7*
Прямоугольный лист бумаги разрезали по прямой, соединяющей середины двух смежных сторон. Могут ли получившиеся треугольники оказаться равными? Если да, при каком условии? Сделайте схемати...
Задача 7*
Прямоугольный лист бумаги разрезали по прямой, соединяющей середины двух смежных сторон. Могут ли получившиеся треугольники оказаться равными? Если да, при каком условии? Сделайте схемати...
в 5 ящиках лежат красные синие и белые шары число синих шаров в каждом ящике равному числу белых шаров во все остальных ящиках число белых шаров в каждом ящике равно общему числу красных шаров во в...
б помидорами занято 6/17 огорода а огурцами 5/17 огорода какая часть огорода занята помидорами и огурцами что занимает большую площадь помидора и огурцы
2.9. Города А и В расположены на одном шоссе на расстоянии 300 км. Из города А в город В выехал автомобиль со скоростью 50 км/ч. Автомобиль доехал до города В, развернулся, увеличил скорость на 10 ...
На каждом шаге к данному числу можно прибавить единицу или удвоить его.За какое наименьшее число шагов из числа 1 можно получить число 99?
Выясни, по какому правилу начали заполнять следующую таблицу.
Соблюдая это правило, заполни таблицу до конца, записывая числа во все пустые клетки.
1 строка – *, 3, 5, 4
2 строка – 2, *, 5, *
3 стр...
Выясни, по какому правилу начали заполнять следующую таблицу.
Соблюдая это правило, заполни таблицу до конца, записывая числа во все пустые клетки.
1 строка – *, 3, 5, 4
2 строка – 2, *, 5, *
3 стр...
В большую коробку размером 60см×40см×20см плотно уложили кубики со стороной 4см . Какое наименьшее кол-во коробок размером 4см×8см×20см понадобится, чтобы в них поместить все кубики из большой кор...
Первый лыжник вышел с лыжной базы со скоростью 12 км/ч. Когда он прошёл 4 км, с базы в том же направлении со скоростью 14км/ч вышел второй лыжник. Через сколько часов он догонит первого лыжника?
Первый лыжник вышел с лыжной базы со скоростью 12 км/ч. Когда он прошёл 4 км, с базы в том же направлении со скоростью 14км/ч вышел второй лыжник. Через сколько часов он догонит первого лыжника?

