-
26 June 2013
Геометрия
- Автор: Arshinec4238
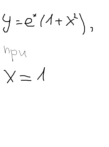
найти производную функции:
-
-
-
26 June 2013
- Ответ оставил: Nataha199420



-
-
-
26 June 2013
- Ответ оставил: LinkaLova
y " = (e^x(1+x^2)) " = (e^x) " (1+x^2) + e^x(1+x^2) " = e^x(1+x^2) + e^x *2x =
=e^x + e^x x^2 + e^x *2x = e^x( 1 + 2x + x^2)
y ' (1) = e^1 (1+2*1+1^2) = 4e
-
-
- НЕ НАШЛИ ОТВЕТ?
Если вас не устраивает ответ или его нет, то попробуйте воспользоваться поиском на сайте и найти похожие ответы по предмету школьной программы: геометрия.
На сегодняшний день (23.04.2026) наш сайт содержит 161595 вопросов, по теме: геометрия. Возможно среди них вы найдете подходящий ответ на свой вопрос. -
Нажимая на кнопку "Ответить на вопрос", я даю согласие на обработку персональных данных
Ответить на вопрос
Последние опубликованные вопросы
Вариант 1.
1. Начертите два неколлинеарных вектора а и Б. Постройте векторы, равные:
a) 2a+36;
6) 26+2.
2. Начертите три неколлинеарных вектора а, би с. Постройте векторы, равные:
а. 26
6. 32...
Найдите углы прямоугольной трапеции, если одна из её углов равен 20°
Сторона треугольника равна 24 см а радиус описанной окружности 8√3 Чему равен угол треугольника противолежащий данной стороне
У прямокутному трикутнику бісектриса найбільшого кута утворює з гіпотенузою кути, один із яких на 20 deg більший за другий.
Знайдіть гострі кути трикутника.
У прямокутному трикутнику бісектриса найбільшого кута утворює з гіпотенузою кути, один із яких на 20 deg більший за другий.
Знайдіть гострі кути трикутника.
У прямокутному трикутнику бісектриса найбільшого кута утворює з гіпотенузою кути, один із яких на 20 deg більший за другий.
Знайдіть гострі кути трикутника.
У прямокутному трикутнику бісектриса найбільшого кута утворює з гіпотенузою кути, один із яких на 20 deg більший за другий.
Знайдіть гострі кути трикутника.
У прямокутному трикутнику бісектриса найбільшого кута утворює з гіпотенузою кути, один із яких на 20 deg більший за другий.
Знайдіть гострі кути трикутника.
У прямокутному трикутнику бісектриса найбільшого кута утворює з гіпотенузою кути, один із яких на 20 deg більший за другий.
Знайдіть гострі кути трикутника.
У прямокутному трикутнику бісектриса найбільшого кута утворює з гіпотенузою кути, один із яких на 20 deg більший за другий.
Знайдіть гострі кути трикутника.
У прямокутному трикутнику бісектриса найбільшого кута утворює з гіпотенузою кути, один із яких на 20 deg більший за другий.
Знайдіть гострі кути трикутника.
У прямокутному трикутнику бісектриса найбільшого кута утворює з гіпотенузою кути, один із яких на 20 deg більший за другий.
Знайдіть гострі кути трикутника.

