-
21 April 2013
Математика
- Автор:
1.Разложте на множители:
а)12b-12x+b^2-bx
б)21y^3+7y^2-45y-15
2.Найдите значение выражения.
5cx-5c^2+x^2-cx
при x=-2,с=1
ПОМОГИТЕ!!!ЗАВТРА ЗДАВАТЬ
-
-
-
21 April 2013
- Ответ оставил: olena77
У меня вот так получилось:
-
-
-
21 April 2013
- Ответ оставил: Qwerty59805
#1
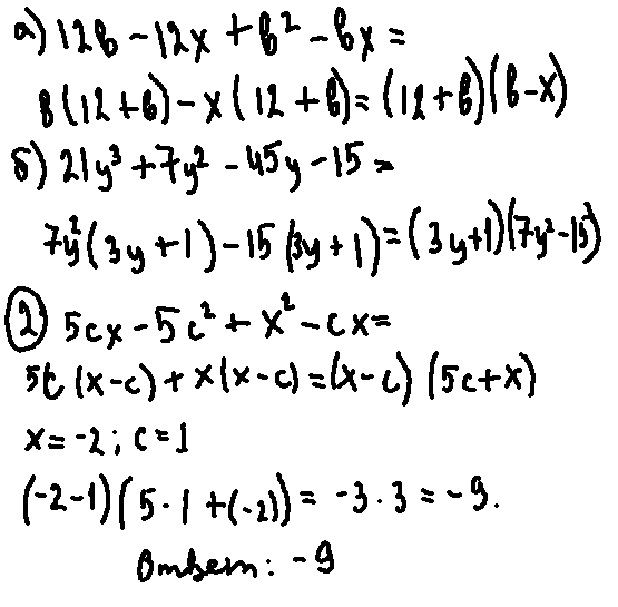
а)12b-12x+b^2-bx = (12b-12x)+ (b^2-bx) = 12(b - x) + b(b - x) = (b - x)(12 + b)
б)21y^3+7y^2-45y-15 = (21y^3+7y^2) - (45y + 15) = 7y^2(3y + 1) - 15(3y + 1) = (7y^2 - 15)(3y + 1)
#2
5cx-5c^2+x^2-cx = (5cx-5c^2) + (x^2-cx) = 5c(x - c) + x(c - x) = (5c + x)(x - c)
Если x = -2, y = 1, то (5c + x)(x - c) = (5 * 1 - 2)( -2 - 1) = 3 * (-3) = -9
Ответ: -9.
-
-
- НЕ НАШЛИ ОТВЕТ?
Если вас не устраивает ответ или его нет, то попробуйте воспользоваться поиском на сайте и найти похожие ответы по предмету школьной программы: математика.
На сегодняшний день (03.04.2026) наш сайт содержит 1049518 вопросов, по теме: математика. Возможно среди них вы найдете подходящий ответ на свой вопрос. -
Нажимая на кнопку "Ответить на вопрос", я даю согласие на обработку персональных данных
Ответить на вопрос
Последние опубликованные вопросы
В бочке было 450л кваса. За 3ч продали пятую часть кваса, а за следующие 2ч - ещё 127л. Сколько литров кваса осталось в бочке?
Задача 7*
Прямоугольный лист бумаги разрезали по прямой, соединяющей середины двух смежных сторон. Могут ли получившиеся треугольники оказаться равными? Если да, при каком условии? Сделайте схемати...
Задача 7*
Прямоугольный лист бумаги разрезали по прямой, соединяющей середины двух смежных сторон. Могут ли получившиеся треугольники оказаться равными? Если да, при каком условии? Сделайте схемати...
в 5 ящиках лежат красные синие и белые шары число синих шаров в каждом ящике равному числу белых шаров во все остальных ящиках число белых шаров в каждом ящике равно общему числу красных шаров во в...
б помидорами занято 6/17 огорода а огурцами 5/17 огорода какая часть огорода занята помидорами и огурцами что занимает большую площадь помидора и огурцы
2.9. Города А и В расположены на одном шоссе на расстоянии 300 км. Из города А в город В выехал автомобиль со скоростью 50 км/ч. Автомобиль доехал до города В, развернулся, увеличил скорость на 10 ...
На каждом шаге к данному числу можно прибавить единицу или удвоить его.За какое наименьшее число шагов из числа 1 можно получить число 99?
Выясни, по какому правилу начали заполнять следующую таблицу.
Соблюдая это правило, заполни таблицу до конца, записывая числа во все пустые клетки.
1 строка – *, 3, 5, 4
2 строка – 2, *, 5, *
3 стр...
Выясни, по какому правилу начали заполнять следующую таблицу.
Соблюдая это правило, заполни таблицу до конца, записывая числа во все пустые клетки.
1 строка – *, 3, 5, 4
2 строка – 2, *, 5, *
3 стр...
В большую коробку размером 60см×40см×20см плотно уложили кубики со стороной 4см . Какое наименьшее кол-во коробок размером 4см×8см×20см понадобится, чтобы в них поместить все кубики из большой кор...
Первый лыжник вышел с лыжной базы со скоростью 12 км/ч. Когда он прошёл 4 км, с базы в том же направлении со скоростью 14км/ч вышел второй лыжник. Через сколько часов он догонит первого лыжника?
Первый лыжник вышел с лыжной базы со скоростью 12 км/ч. Когда он прошёл 4 км, с базы в том же направлении со скоростью 14км/ч вышел второй лыжник. Через сколько часов он догонит первого лыжника?
