-
14 April 2013
Українська мова
- Автор:
Нужна помощь.
Смотрите вложение.
-
-
-
14 April 2013
- Ответ оставил:
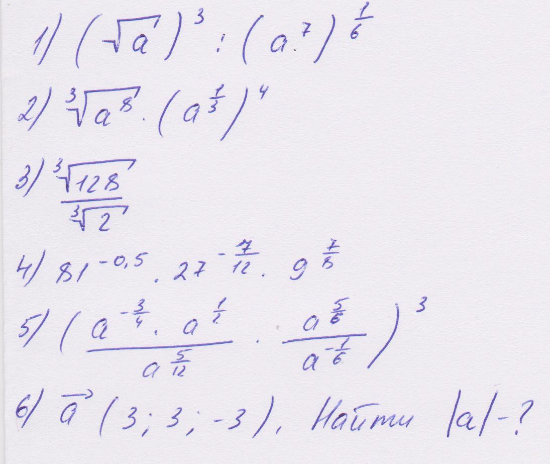
1)
(√a)^2 : (a^7)^1/6 = a^2/3 : a^7/6 = a^ (2/3-7/6) =a^(-1/2)= 1/√a или =√a/а
2)
a^8/3 * (a^1/3)^4 =a^8/3 * a^4/3 = a^(8/3+4/3) =a^12/3 =a^4
3)
128^1/3 / 2^1/3 = (128/2)^1/3 =64^1/3 = (4^3)^1/3 = 4
4)
81^-0.5 * 27^-7/12 * 9^7/8 = (3^4)^-0.5 * (3^3)^-7/12 * (3^2)^7/8 =
= 3^-2 * 3^-7/4 * 3^7/4 = 3^(-2-7/4+7/4) =3^-2 =1/9
5)
( a^-3/4 * a^1/2 / a^5/12 * a^5/6 /a^-1/6 )^3 =
=( a^(-3/4+1/2-5/12) * a^(5/6+1/6) )^3 =
=( a^-2/3 * a )^3 =
=( a^(1-2/3) )^3 =
= ( a^1/3 )^3 = a^(1/3 * 3)=
= a
6)
|a| = √ ( 3^2 +3^2 + (-3)^2 ) =√ (3*9) = √ (3*3^2) = 3√3
ответ |a| = 3√3
-
-
-
14 April 2013
- Ответ оставил: 070711g






-
-
- НЕ НАШЛИ ОТВЕТ?
Если вас не устраивает ответ или его нет, то попробуйте воспользоваться поиском на сайте и найти похожие ответы по предмету школьной программы: українська мова.
На сегодняшний день (29.04.2026) наш сайт содержит 117845 вопросов, по теме: українська мова. Возможно среди них вы найдете подходящий ответ на свой вопрос. -
Нажимая на кнопку "Ответить на вопрос", я даю согласие на обработку персональных данных
Ответить на вопрос

