-
13 April 2013
Українська мова
- Автор: Nadushka02
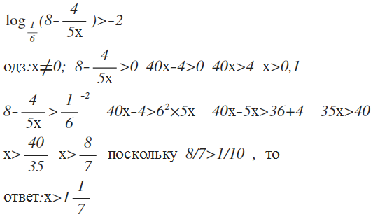
Помогите пожалуйста с алгеброй) если не трудно/ Буду очень благодарна. log1/6(8-4/5x)>-2
-
-
-
13 April 2013
- Ответ оставил: Palilov2436
если я правильно понял условие
решение смотри во вложении
-
-
- НЕ НАШЛИ ОТВЕТ?
Если вас не устраивает ответ или его нет, то попробуйте воспользоваться поиском на сайте и найти похожие ответы по предмету школьной программы: українська мова.
На сегодняшний день (01.04.2026) наш сайт содержит 117845 вопросов, по теме: українська мова. Возможно среди них вы найдете подходящий ответ на свой вопрос. -
Нажимая на кнопку "Ответить на вопрос", я даю согласие на обработку персональных данных
Ответить на вопрос
Последние опубликованные вопросы
Знайдіть в Інтернеті промови ораторів Давньої Греції або Давнього Риму. Прочитайте одну із них і запишіть, чим відрізняються такі тексти від сучасних.
напишіть правильно словосполучення:кошторис по філії Ощадбанку,курси по вивчанню бухгалтерського обліку,інструктор по плаванню,не по душі,з 15 по 25 грудня,по Вашому проханню,працювати по контракту...
Срочноооо!! Підберіть до іншомовних слів слова сучасної української мови : реставрація
Допоможіть написати!Провідміняйте числівник з іменником: двадцять п’ять тисяч шістсот дев’яносто сім студентів.
Розставляючи розділові знаки. Синтаксичний розбір речення. Повсюди виблискуючи білим оперненням крил низько над прибоєм висіли гамірні чайки.
чому лише літературна мова виконує функції державної
Скалідіть слова за схемою префікс префікс корінь і закінчення! Будь ласка!
3редагуйте- речення, що- можуть бути- використані під- час формулювання мети резюме 2) Заснувати мережу фітнес-клубів по заняттях pізними видами спорту3) Отримати посадудиректора реабіліташіiнoго ц...
Скласти речення із словосполученням , листування з товаришем
Аеродром доберіть до нього синонім із запропонованих слів: космодром, летовище, іподром.запишіть
складне речення з словами нюанс і ательє1 складне реченняпожалуйста очень надо
Номер 1Доберіть синоніми й антоніми до виділеного слова.Цю сорочку мені вишила материнська ЛАСКАВА рука. Номер 2 Складіть два речення зі словом гарячий т...
