-
23 December 2012
Другие предметы
- Автор:
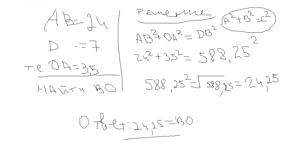
прямая АВ касательная в точке А к окружности с центром О. Найдите длину отрезка ОВ,если АВ=24см а радиус окружности равен 7см ЕСТЬ ФОТО
-
-
-
23 December 2012
- Ответ оставил: paiki
это делается по теореме
-
-
- НЕ НАШЛИ ОТВЕТ?
Если вас не устраивает ответ или его нет, то попробуйте воспользоваться поиском на сайте и найти похожие ответы по предмету школьной программы: другие предметы.
На сегодняшний день (24.03.2026) наш сайт содержит 140759 вопросов, по теме: другие предметы. Возможно среди них вы найдете подходящий ответ на свой вопрос. -
Нажимая на кнопку "Ответить на вопрос", я даю согласие на обработку персональных данных
Ответить на вопрос
Последние опубликованные вопросы
Придумать загадку используя подсказку:
Дождь - серебряные нити.
Туча- птица.
. Изучите таблицу, сделайте вывод о средней плотности населения по Казахстану и по регионам. Вывод представьте в форме текста. (3 балла)
Название области Плотность, человек на 1 км2
Карагандинская ...
йобаная дистанционка
өсімдіктін мүшесілері
2. Какова тема произведения А.С. Пушкина «Песнь о вещем Олеге»:
а) тема отцов и детей
б) тема судьбы и рока
в) тема любви и дружбы
г) тема дружбы и предательства
У меня соч по лит чт
какие аниме можно посмотреть?
Три основные расы составляют 88% всего населения планета . Определите негроидную расу
ПОМОГИТЕ
Верны ли следующие утверждения.
ВЕРНО НЕВЕРНО
1 Гидросфера является твердой скалистой оболочкой, покрывающей нашу планету.
2 Воздух нашей планеты состоит из азота и кислорода
3 Значен...
ДАЮ 80 БАЛЛОВ ПОМОГИТЕ ПОЖАЛУЙСТА НУЖНО СЕГОДНЯ СДЕЛАТЬ СОЧ ПО ИСТОРИИ КАЗАХСТАНА Задание 1 Закончи предложение Археологи Х.А Алпысбаев А.Г Медоев А.М Оразбаев - исследователи А.Х Маргулан М.К...
Майбұлақтың ерекшелігі срочна!
ПОМОГИТЕ ПОЖАЛУЙСТА ДАЮ 15 БАЛЛОВ НУЖНО СРОЧНОЗакончи предложение Археологи Х.А Алпысбаев А.Г Медоев А.М Оразбаев - исследователи ------------------------------------Закончи предложение А.Х Марг...
ДАЮ 45 БАЛЛОВ!!!Помогите с Логикой
Начертить круги Ейлера понятий:
Мужчина,отце, сын,дед,внук,дядя,племянник
Самые широкие понятия - сын и внук!!!!
ДАЮ 45 БАЛЛОВ

